数据结构第五讲课程笔记——树和二叉树
nets:[[../else/数据结构]] 课程笔记
5.1 树的类型定义
数据对象D:
D是具有相同特性的数据元素的集合。
数据关系R:
若D为空集,则称为空树。
否则:(1)在D中存在唯一的称为根的数据元素root;
(2)当n>1时,其余结,点可分为m(m>0)个互不相交的有限集T1,T2,….,Tm,其中每一棵子集本身又是一棵符合本定义的树,称为根root的子树。
基本操作:
查找类
Root(T)//求树的根结点
Value(T,cur_e)//求当前结点的元素值
Parent(T,cur_e)//求当前结点的双亲结点
LeftChild(T,cur_e)//求当前结,点的最左孩子
RightSibling(T,cur_e)//求当前结点的右兄弟
TreeEmpty(T)//判定树是否为空树
TreeDepth(T)//求树的深度
TraverseTree(T,Visit())//遍历
插入类
InitTree(&T)//初始化置空树
CreateTree(&T,definition)//按定义构造树
Assign(T,cur_e,value)//给当前结点赋值
InsertChild(&T,&p,i,c)//将以c为根的树插入为结点p的第i棵子树
删除类
ClearTree(&T)//将树清空
Destroy Tree(&T)//销毁树的结构
DeleteChild(&T,&p,i)//删除结点p的第棵子树
相关概念
有向树:
(1)有确定的根;
(2)树根和子树根之间为有向关系
有序树:
子树之间存在确定的次序关系。
无序树:
子树之间不存在确定的次序关系。
树形结构和线性结构的特点
线性结构
第一个数据元素(无前驱)
最后一个数据元素(无后继)
其它数据元素
(一个前驱、一个后继)
树形结构
根节点(无前驱)
多个叶子节点(无前驱后继)
其它数据元素(一个前驱、多个后继)
结点:数据元素+若干指向子树的分支
结点的度:分支的个数
树的度:树中所有结点的度的最大值
叶子结点:度为零的结点
分支结点:度大于零的结点
结点的层次:假设根结点的层次为1,第1层的结点的子树根结点的层次为l+1
树的深度:树中叶子结点所在的最大层次
(从根到结,点的)路径:由从根到该结点所经分支和结,点构成
孩子结点、双亲结点
兄弟结点、堂兄弟
祖先结点、子孙结点

森林:是m(m≥0)棵互不相交的树的集合。
任何一棵非空树是一个二元组
Tree=(root,F)
其中:root被称为根结点;F被称为子树森林;
5.2 二叉树的类型定义
二叉树或为空树,或是由一个根结点加上两棵分别称为左子树和不子树的、互不交的二叉树组成。

二叉树的五种基本形态
空树、只含根节点、右子树为空树、左子树为空树、左右子树均不为空树。
满二叉树:指的是深度为k且含有2**k-1个结点的二叉树。
完全二叉树:树中所含的n个结点和满二叉树中编号为1至n的结点一一对应。
二叉树的主要的基本操作
查找类
Root(T);
Value(T,e);
Parent(T,e);
LeftChild(T,e);
RightChild(T,e);
LeftSibling(T,e);
RightSibling(T,e);
BiTreeEmpty(T);
BiTreeDepth(T);
PreOrderTraverse(T,Visit());
InOrderTraverse(T,Visit());
PostOrderTraverse(T,Visit());
LevelOrderTraverse(T,Visit());
插入类
InitBiTree(&T);
Assign(T,&e,value);
CreateBiTree(&T,definition);
InsertChild(T,p,LR,c);
删除类
ClearBiTree(&T);
DestroyBiTree(&T);
DeleteChild(T,p,LR);
二叉树的重要特性
性质1:在二叉树的第i层上至多有2**(i-1)个结点 (i>=1)
性质2:深度为k的二叉树上至多含2**i-1个结,点(k≥1)
性质3:对任何一棵二叉树,若它含有n0个叶子结点、n2个度为2的结点,则必存在关系式:n0=n2+1。
结点总数n=n0+n1+n2
分支总数n=n1+2*n2
性质4:具有n个结,点的完全二叉树的深度为(log2n)+1
性质5:若对含n个结点的完全二叉树从上到下且从左至右进行1至n的编号,则对完全二叉树中任意一个编号为i的结点:
(1)若i=1,则该结点是二叉树的根,无双亲,否则,编号为i/2的结点为其双亲结点;
(2)若2i>n,则该结点无左孩子,否则,编号为2i的结点为其左孩子结点;
(3)若2i+1>n,则该结点无右孩子结点,否则,编号为2i+1的结点为其右孩子结点。
5.3 二叉树的储存结构
一、二叉树的顺序存储表示
1 |
|

二、二叉树的链式存储表示
1. 二叉链表
1 | typedef struct BiTNode{//结点结构 |
2. 三叉链表
1 | typedef struct TriTNode{//结点结构 |
3. 双亲链表
1 | typedef struct BPTNode{//结点结构 |

4. 线索链表
(见5.5)
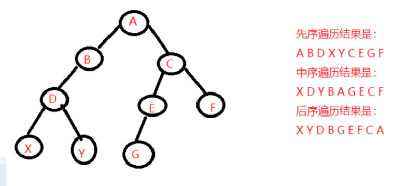
5.4 二叉树的遍历
一、问题的提出
顺着某一条搜索路径巡访二叉树中的结点,使得每个结点均被访问一次,而且仅被访问一次。
“访问”的含义可以很广,如:输出结点的信息等。
对“二叉树”而言,可以有三条搜索路径:
1.先上后下的按层次遍历;”先序遍历算法”
2.先左(子树)后右(子树)的遍历;“中序遍历算法”
3.先右(子树)后左(子树)的遍历。“后序遍历算法”
二、算法的递归描述
1 | void preorder(BiTree T,void(*visit)(TElemtType&e)){ |
三、中序遍历算法的非递归描述
1 | void inorder(BiTree T,void(*visit)(TElemType &e)){ |
四、遍历算法的应用举例
层次遍历二叉树
层次遍历二叉树,是从根结点开始遍历,按层次次序“自上而下,从左至右”访问树中的各结点。
为保证是按层次遍历,必须设置一个队列,初始化时为空。
设T是指向根结点的指针变量,层次遍历非递归算法是:
若二叉树为空,则返回;否则,令p=T,p入队:
(1)队首元素出队到p;
(2)访问p所指向的结点:
(3)将所指向的结点的左、右子结点依次入队。直到队空为止。
1 |
|
5.5 线索二叉树
一、何为线索二叉树
遍历二叉树的结果是,求得结点的一个线性序列。指向该线性序列中的“前驱”和“后继”的指针,称作“线索“。
包含”线索“的储存结构,称作”线索链表“。
与其相对应的二叉树,称作”线索二叉树“。
对线索链表中结点的约定:
在二又链表的结点中增加两个标志域,并作如下规定:
若该结点的左子树不空,则Lchild域的指针指向其左子树,且左标志域的值为”指针Link”;
否则,Lchild域的指针指向其”前驱”,且左标志的值为”线索
Thread”。
若该结点的右子树不空,则rchild域的指针指向其右子树,且右标志域的值为“指针Link”;
否则,rchild域的指针指向其“后继”,且右标志的值为“线索Thread”
如此定义的二叉树的存储结构称作“线索链表”。
1 | typedef enum {Link,Thread} PointerThr; |
二、线索链表的遍历算法
由于在线索链表中添加了遍历中得到的“前驱”和“后继”的信息,从而简化了遍历的算法。
for (p=firstNode(T);p;p Succ(p))
Visit (p);
例如:对中序线索化链表的遍历算法
- 必中序遍历的第一个结点?
左子树上处于“最左下”(没有左子树)的结点。
中序线索链表查找前驱 - 必在中序线索化链表中结点的后继?
若无右子树,则为后继线索所指结点;否则为对
其右子树进行中序遍历时访问的第一个结点。中序线索链表查找后继。

1 | void InOrder Traverse Thr(BiThr Tree T,void (*Visit)(TElemType e)){ |
三、如何建立线索链表
在中序這历过程中修改结点的左、右指针域,以保存当前访问结,点的“前驱”和“后继”信息。遍历过程中,附设指针pr,并始终保持指针pre指向当前访问的、指针p所指结点的前驱。
1 | void InThreading(BiThrTree p){ |
1 | Status InOrderThreading(BiThr Tree &Thrt,BiThrTree T){//构建中序线索链表 |
5.6 树和森林的表示方法
树的存储结构
1、双亲表示法:用数组存储树,每个结点保存父结点的索引。
缺点:求结点的子结点时需要遍历树。
2、孩子表示法:用数组存储,数组的每个元素包含一个链表,链表中每一结点保存该元素的一个子结点索引。
缺点:不便于求结点的父结点。
3、父子表示法结合:既存储父结点索引,又存储子结点索引
树与二叉树(二又链表)的转换
- 转换方法:
—加线:在兄弟之间加一连线;
—抹线:对每个结点,除了其左孩子外,去除其与其余
孩子之间的关系。
森林与二叉树的转换(不考)
·转换方法:
一将各棵树分别转换成二叉树
一将每棵树的根结,点用线相连
5.7 赫夫曼树与赫夫曼编
最优树的定义
- 结点的路径长度定义为:从根结点到该结点的路径上分支的数目。
- 树的路径长度定义为:树中每个结点的路径长度之和。
- 树的带权路径长度定义为:树中所有叶子结点的带权路径长度之和WPL(T)=w(对所有叶子结点)
在所有含n个叶子结点、并带相同权值的叉树中,必存在一棵其带权路径长度取最小值的树,称为“最优树”
如何构造最优树
(赫夫曼算法)以二叉树为例:
(1)根据给定的n个权值{w1,w2,wn},构造n棵二叉树的集合F={T1,T2,…,Tn},
其中每棵二叉树中均只含一个带权值为w,的根结点,其左、右子树为空树;
(2)在F中选取其根结,点的权值为最小的两棵二叉树,分别作为左、右子树构造一棵新的二叉树,并置这棵新的二叉树根结点的权值为其左、右子树根结点的权值之和;
(3)从F中删去这两棵树,同时加入刚生成的新树;
(4)重复(2)和(3)两步,直至F中只含一棵树为止。
前缀编码
指的是,任何一个字符的编码都不是同一字符集中另一个字符的编码的前缀。
利用赫夫曼树可以构造一种不等长的二进制编码,并且构造所得的赫夫曼编码是一种最优前缀编码,即使所传电文的总长度最短。
1 | typedef struct{ |

